网站首页  词典首页


请输入您要查询的字词:

 

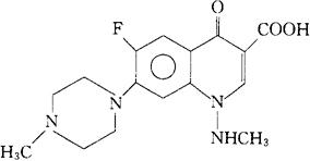
字词 氨氟沙星
类别 中英文字词句释义及详细解析
释义 氨氟沙星

C16H19FN4O3=334.35

CAS-86393-37-5

6-氟-1,4-二氢-1-(甲氨基)-7-(4-甲基-1-哌嗪基)-4-氧-3-喹啉羧酸。

6-Fluoro-1,4-dihydro-l-(methylamino)-7-(4-methyll-piperazinyl)-4-oxo-3-quinolinecarboxylic acid.

抗菌药。

Amifloxacin,Win 49375.

INN,BAN,USAN.

随便看

 

离鸟网收录3541549条中英文词条,其功能与新华字典、现代汉语词典、牛津高阶英汉词典等各类中英文词典类似,基本涵盖了全部常用中英文字词句的读音、释义及用法,是语言学习和写作的有利工具。

 

Copyright © 2004-2024 vtrois.com All Rights Reserved
更新时间:2026/4/21 11:55:18