网站首页  词典首页


请输入您要查询的字词:

 

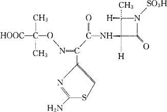
字词 氨曲南
类别 中英文字词句释义及详细解析
释义 氨曲南

C13H17N5O8S2=435.43

CAS-78110-38-0

[2S-[2α,3β(Z)]]-2-[[[1-(2-氨基4-噻唑基)-2-[(2-甲基-4-氧代-i-磺基-3-氮杂环丁烷基)氨基]-2-氧代亚乙基]氨基]氧]-2-甲基-丙酸。

[2S-[2α,3β(Z)]]-2-[[[1-(2-Amino-4-thiazolyl)-2-[(2-methyl-4-oxo-1-sulfo-3-azetidinyl)amino]-2-oxoethylidene]amino]oxy]-2-methyl-propanoic acid.

(Z)-2-[[[(2-氨基-4-噻唑基)[[(2S,3S)-2-甲基-4-氧代-1-磺基-3-氮杂环丁烷基]氨基甲酰基]亚甲基]氨基]氧]-2-甲基丙酸。

(Z)-2-[[[(2-Amino-4-thiazolyl)[[(2S,3S)-2-methyl-4-oxo-1-sulfo-3-azetidinyl]carbamoyl]methylene]amino]oxy]-2-methylpropionic acid.

抗生素类药。

阿兹曲南。

Aztreonam,SQ 26776,Azactam.

INN,BAB,USAN,USP.

随便看

 

离鸟网收录3541549条中英文词条,其功能与新华字典、现代汉语词典、牛津高阶英汉词典等各类中英文词典类似,基本涵盖了全部常用中英文字词句的读音、释义及用法,是语言学习和写作的有利工具。

 

Copyright © 2004-2024 vtrois.com All Rights Reserved
更新时间:2026/4/20 5:46:13