氨丁三醇普林米特
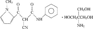
C15H13N3O2·C4H11NO3=388.42 CAS-109636-76-2 CAS-77639-66-8(prinomide) α-氰基-1-甲基-β-氧代-N-苯基-1H-吡咯-2-丙酰胺,与2-氨基-2-(羟甲基)-1,3-丙二醇的化合物(1∶1)。 α-Cyano-1-methyl-β-oxo-N-phenyl-1H-pyrrole-2-propanamide,compound with 2-amino-2-(hydroxymethyl)-1,3-propanediol(1∶1). α-氰基-1-甲基-β-氧代吡咯-2-丙酰苯胺与2-氨基-2-(羟基甲基)-1,3-丙二醇的化合物(1∶1)。 α-Cyano-1-methyl-β-oxopyrrole-2-propionanilide compound with 2-amino-2-(hydroxymethyl)-1,3-propanediol(1∶1). 消炎镇痛药,抗风湿药。 Prinomide Tromethamine,CGS 10787D. INN(Prinomide),USAN.  |