网站首页  词典首页


请输入您要查询的字词:

 

字词 氧苯雷司
类别 中英文字词句释义及详细解析
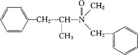
释义 氧苯雷司

C17H21NO=255.36

CAS-4075-88-1

N-苄基-N,α-二甲基苯乙胺N-氧化物。

N-Benzyl-N,α-dimethylphenethylamine N-oxide.

N-α-二甲基-N-(苯甲基)苯乙烷胺N-氧化物。

N-α-Dimethyl-N-(phenylmethyl)benzeneethanamine N-oxide.

中枢神经兴奋药,食物抑制药。

氧芬托斯。

Oxifentorex.

INN,DCF,USAN.

随便看

 

离鸟网收录3541549条中英文词条,其功能与新华字典、现代汉语词典、牛津高阶英汉词典等各类中英文词典类似,基本涵盖了全部常用中英文字词句的读音、释义及用法,是语言学习和写作的有利工具。

 

Copyright © 2004-2024 vtrois.com All Rights Reserved
更新时间:2026/4/19 1:15:53