网站首页  词典首页


请输入您要查询的字词:

 

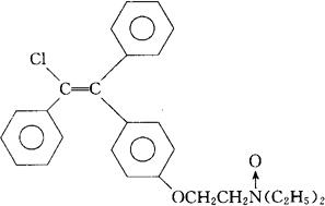
字词 氧氯米芬
类别 中英文字词句释义及详细解析
释义 氧氯米芬

C26H28ClNO2=421.97

CAS-97642-74-5

2-[对-(2-氯-1,2-二苯基烯乙基)苯氧]三乙胺N-氧化物。

2-[p-(2-Chloro-1,2-diphenylvinyl)phenoxy]triethylamine N-oxide.

抗不育症药。

Clomifenoxide.

INN,USAN.

随便看

 

离鸟网收录3541549条中英文词条,其功能与新华字典、现代汉语词典、牛津高阶英汉词典等各类中英文词典类似,基本涵盖了全部常用中英文字词句的读音、释义及用法,是语言学习和写作的有利工具。

 

Copyright © 2004-2024 vtrois.com All Rights Reserved
更新时间:2026/4/18 9:56:50