网站首页  词典首页


请输入您要查询的字词:

 

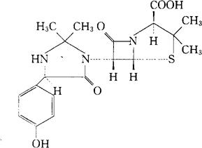
字词 氧他西林
类别 中英文字词句释义及详细解析
释义 氧他西林

C19H23N3O5S=405.47

CAS-53861-02-2

(2S,5R,6R)-6-[(R)-[4-(对-羟基苯)-2,2-二甲基-5-氧代-1-咪唑烷基]]-3,3-二甲基-7-氧代-4-硫杂-1-氮杂双环[3.2.0]-庚烷-2-羧酸。

(2S,5R,6R)-6-[(R)-[4-(p-Hydroxyphenyl)-2,2-dimethyl-5-oxo-l-imidazolidinyl]]-3,3-dimethyl-7-oxo-4-thia-l-azabicyclo[3.2.0]-heptane-2-carboxylic acid.

抗生素类药。

酚塔西林。

Oxetacillin,LH 380.

INN,USAN.

随便看

 

离鸟网收录3541549条中英文词条,其功能与新华字典、现代汉语词典、牛津高阶英汉词典等各类中英文词典类似,基本涵盖了全部常用中英文字词句的读音、释义及用法,是语言学习和写作的有利工具。

 

Copyright © 2004-2024 vtrois.com All Rights Reserved
更新时间:2026/4/19 15:32:05