网站首页  词典首页


请输入您要查询的字词:

 

字词 氢溴酸樟柳碱[中]
类别 中英文字词句释义及详细解析
释义 氢溴酸樟柳碱[中]

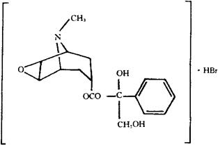
C17H21NO5·HBr=400.27

3α-羟基-6,7β-环氧托烷2-苯基-2,3-二羟基丙酸酯的氢溴酸盐。

3α-Hydroxy-6,7B-epoxytropane 2-phenyl-2,3-dihydroxypropionate hydrobromide.

抗胆碱药。用于治疗偏头痛、血管性头痛、视网膜血管痉挛、缺血性视神经病变神经系统炎症及脑血管所引起的急性瘫痪、震颤麻痹等,亦可用于有机磷农药中毒。

Anisodine Hydrobromide,Anisodi-tangutic-3.

氢溴酸樟柳碱片,氢溴酸樟柳碱注射液。

随便看

 

离鸟网收录3541549条中英文词条,其功能与新华字典、现代汉语词典、牛津高阶英汉词典等各类中英文词典类似,基本涵盖了全部常用中英文字词句的读音、释义及用法,是语言学习和写作的有利工具。

 

Copyright © 2004-2024 vtrois.com All Rights Reserved
更新时间:2026/4/18 6:16:50