网站首页  词典首页


请输入您要查询的字词:

 

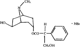
字词 氢溴酸山莨菪碱[典]
类别 中英文字词句释义及详细解析
释义 氢溴酸山莨菪碱[典]

C17H23NO4·HBr=386.29

6-羟基托品基莨菪烷氢溴酸盐。

6-Hydroxytropyltropate hydrobromide.

抗胆碱药。与阿托品同样作用。

用于胃肠道绞痛、微循环障碍及有机磷中毒等。

消旋氢溴酸山茛菪碱,山茛菪碱,654-1氢溴酸盐,654-2氢溴酸盐。

Anisodamine Hydrobromide.

654-2片,氢溴酸山莨菪碱注射液。

随便看

 

离鸟网收录3541549条中英文词条,其功能与新华字典、现代汉语词典、牛津高阶英汉词典等各类中英文词典类似,基本涵盖了全部常用中英文字词句的读音、释义及用法,是语言学习和写作的有利工具。

 

Copyright © 2004-2024 vtrois.com All Rights Reserved
更新时间:2026/4/17 19:37:48