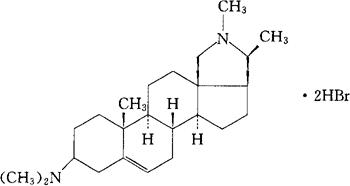
氢溴酸可内新
C24H40N2·2HBr=518.41 CAS-5913-82-6 CAS-546-06-5(conessine) 从Holarrhena antidysenterica Linn′e的种子取得的生物碱。 Alkaloid obtained from the seeds of.Holarrhena antidysenterica Linn′e. 抗原虫药,抗阿米巴药。 二氢溴酸康里新,二氢溴酸康丝碱。 Conessine Hydrobromide. INN(Conessine),USAN.  |