网站首页  词典首页


请输入您要查询的字词:

 

字词 氢可酮聚司替雷
类别 中英文字词句释义及详细解析
释义 氢可酮聚司替雷

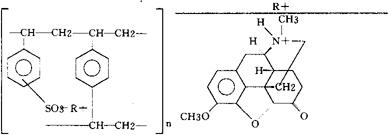
二乙烯-苯,与乙烯苯,的共聚物经过与(5α)-4,5-环氧-3-甲氧基-17-甲基吗啡喃-6-酮的复合物。

Diethenyl-benzene,polymer with ethenylbenzene,sulfonated,complex with(5α)-4,5-epoxy-3-methoxy-17-methylmorphinan-6-one.

磺酸化的苯乙烯-二乙烯苯与4,5α环氧-3-甲氧基-17-甲基吗啡喃-6-酮的共聚复合物。

Sulfonated-styrene-divinylbenzene copolymer complex with 4,5α-epoxy-3-methoxy-17-methylmorphinan-6-one.

镇咳药。

Hydrocodone Polistirex.

USAN.

随便看

 

离鸟网收录3541549条中英文词条,其功能与新华字典、现代汉语词典、牛津高阶英汉词典等各类中英文词典类似,基本涵盖了全部常用中英文字词句的读音、释义及用法,是语言学习和写作的有利工具。

 

Copyright © 2004-2024 vtrois.com All Rights Reserved
更新时间:2026/4/18 1:56:19