网站首页  词典首页


请输入您要查询的字词:

 

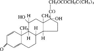
字词 氢化泼尼松三甲基丙酸酯
类别 中英文字词句释义及详细解析
释义 氢化泼尼松三甲基丙酸酯

C27H38O6=458.59

CAS-7681-14-3

11β,17,21-三羟孕甾-1,4-二烯-3,20-二酮21-(3,3-二甲基丁酸酯)。

11β,17,21-Trihydroxypregna-1,4-diene-3,20-dione,21-(3,3-dimethylbutyrate).

皮质激素类药。

氢化泼尼松特丁酸酯。

Prednisolone Tebutate.

USAN,USP,MI.

随便看

 

离鸟网收录3541549条中英文词条,其功能与新华字典、现代汉语词典、牛津高阶英汉词典等各类中英文词典类似,基本涵盖了全部常用中英文字词句的读音、释义及用法,是语言学习和写作的有利工具。

 

Copyright © 2004-2024 vtrois.com All Rights Reserved
更新时间:2026/4/18 6:32:27