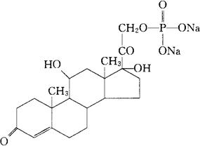
氢化可的松磷酸钠
C21H29Na2O8P=486.41 CAS-6000-74-4 11β,17-二羟基-21-(磷酰基氧)-孕甾-4-烯-3,20-二酮二钠盐。 11β,17-Dihydroxy-21-(phosphonooxy)-pregn-4-ene3,20-dione disodium salt. 可的松-21-(磷酸二钠)。 Cortisol 21-(disodium phosphate). 肾上腺皮质激素类药。 Hydrocortisone Sodium Phosphate,Hydrocortisone Phosphate Disodium Salt. 氢化可的松磷酸钠注射液。 BP,USAN,USP,MI.  |