网站首页  词典首页


请输入您要查询的字词:

 

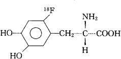
字词 氟[18F]多巴
类别 中英文字词句释义及详细解析
释义 氟[18F]多巴

C9H1018FNO4=214.19

CAS-9281-83-4

2-(氟-18F)-5羟-L-酪氨酸。

L-Tyrosine,2-(fluoro-18F)-5-hydroxy.

3-(2-氯-18F-4,5-二羟基苯基)-L-丙氨酸。

3-(2-Fluoro-18F4,5-dihydroxyphenyl)-L-alanine.

诊断用药。

Fluorodopa F18.

USAN.

随便看

 

离鸟网收录3541549条中英文词条,其功能与新华字典、现代汉语词典、牛津高阶英汉词典等各类中英文词典类似,基本涵盖了全部常用中英文字词句的读音、释义及用法,是语言学习和写作的有利工具。

 

Copyright © 2004-2024 vtrois.com All Rights Reserved
更新时间:2026/4/17 17:56:44