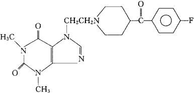
氟鲁茶碱
C21H24FN5O3=413.45 CAS-82190-91-8 7-[2-[4-(对-氟苄基)哌啶基]乙基]茶碱。 7-[2-[4-(p-Fluorobenzyl)piperidino]ethyl]theophylline. 7-[2-[4-(4-氟苯甲酰)-1-派啶基]乙基]-3,7-二氢-1,3-二甲基-1H-嘌呤-2,6-二酮。 7-[2-[4-(4-Fluorobenzoyl)-1-pipezridinyl]ethyl]-3,7-dihydro-1,3-dimethyl-1H-purine-2,6-dione. 支气管扩张药,抗组胺药。 Flufylline,Sgd 19578. INN,USAN.  |