网站首页  词典首页


请输入您要查询的字词:

 

字词 氟轻松
类别 中英文字词句释义及详细解析
释义 氟轻松

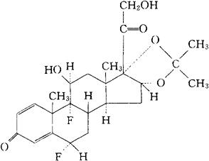
C24H30F2O6=452.50

CAS-67-73-2

CAS-807-38-5(fluocinolone)

(6α,11β,11α)-6,9-二氟-11,21-二羟-16,17-[(1-甲基亚乙基)双(氧)]孕甾-1,4-二烯-3,20-二酮。

(6α,11β,11α)-6,9-Difluoro-11,21-dihydroxy-16,17-[(1-methylethylidene)bis(oxy)]-pregna-1,4-diene3,20-dione.

6α,9-二氟-11β,16α,17,21-四羟孕甾-1,4-二烯-3,20-二酮,与丙酮形成环16,17-乙缩醛。

6α,9-Difluoro-11β,16α,17,21-tetrahydroxypregna1,4-diene-3,20-dione,cyclic 16,17-acetal with acetone.

肾上腺皮质激素类药。

氟西奈德。

Fluocinolone Acetonide, NSC-92339, Fluonid,Synalar,Synalar-HP,Synemol.

BAN(Fluocinolone),USAN.

随便看

 

离鸟网收录3541549条中英文词条,其功能与新华字典、现代汉语词典、牛津高阶英汉词典等各类中英文词典类似,基本涵盖了全部常用中英文字词句的读音、释义及用法,是语言学习和写作的有利工具。

 

Copyright © 2004-2024 vtrois.com All Rights Reserved
更新时间:2026/4/18 13:04:44