网站首页  词典首页


请输入您要查询的字词:

 

字词 氟索洛尔
类别 中英文字词句释义及详细解析
释义 氟索洛尔

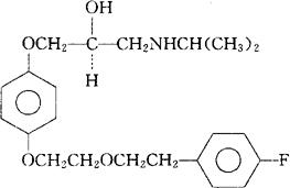
C22H30FNO4=391.48

CAS-84057-96-5

(S)-1-[对-[2-[(对-氟苯乙基)氧]乙氧]苯氧]-3-异丙氨基-2-丙醇。

(S)-1-[p-[2-[(p-Fluorophenethyl)oxy]ethoxy]phenoxy]-3-(iso-propylamino)-2-propanol.

1-[4-[2-[2-(对-氟苯基)乙氧]乙氧]苯氧]-3-[(1-甲基乙基)氨基]-2-丙醇。

1-[4-[2-[2-(4-Fluorophenl)ethoxy]ethoxy]phenoxy]-3-[(1-methylethyl)amino]-2-propanol.

β-受体阻滞药。

Flusoxolol,Ro 311411.

INN,BAN,USAN.

随便看

 

离鸟网收录3541549条中英文词条,其功能与新华字典、现代汉语词典、牛津高阶英汉词典等各类中英文词典类似,基本涵盖了全部常用中英文字词句的读音、释义及用法,是语言学习和写作的有利工具。

 

Copyright © 2004-2024 vtrois.com All Rights Reserved
更新时间:2026/4/18 22:38:09