网站首页  词典首页


请输入您要查询的字词:

 

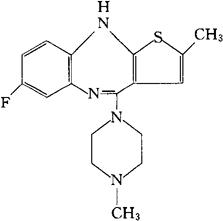
字词 氟甲氮平
类别 中英文字词句释义及详细解析
释义 氟甲氮平

C17H19FN4S=330.42

CAS-61325-80-2

7-氟-2-甲基-4-(4-甲基-1-哌嗪基)-10H-噻吩并[2,3-b][1,5]苯并二氮杂

7-Fluoro-2-methyl-4-(4-methyl-1-piperazinyl)-10Hthieno[2,3-b][1,5]benzodiazepine.

抗精神病药。

氟美扎平。

Feumezapine Ly120363.

INN,BAN,USAN.

随便看

 

离鸟网收录3541549条中英文词条,其功能与新华字典、现代汉语词典、牛津高阶英汉词典等各类中英文词典类似,基本涵盖了全部常用中英文字词句的读音、释义及用法,是语言学习和写作的有利工具。

 

Copyright © 2004-2024 vtrois.com All Rights Reserved
更新时间:2026/4/20 4:58:52