网站首页  词典首页


请输入您要查询的字词:

 

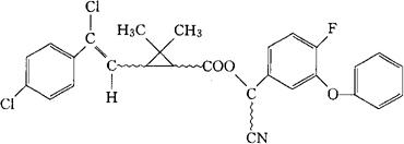
字词 氟甲司林
类别 中英文字词句释义及详细解析
释义 氟甲司林

C28H22Cl2FNO3=510.39

CAS-59770-45-2

α-氰基-4-氟-3-苯氧苄基-3-(β,4-二氯苯乙烯基)-2,2-二甲基环丙烷羧酸酯。

α-Cyano-4-fluoro-3-phenoxybenzyl-3-(β,4-dichlorostyryl)-2,2-dimethylcyclopropanecarboxylate.

氰基-[4-(氟-3-苯氧苯基)甲基3-[2-氯-2-(4-氯苯基)乙烯基]-2,2-二甲基]环丙烷羧酸酯。

Cyano-[4-(fluoro-3-phcnoxyphenyl)methy3-[2-chloro-2-(4-chlorophenyl)ethenyl]-2,2-dimethyl]cyclopropanecarboxylate.

杀虫药。

Flumethrin,BAYVI 6045.

BAN,USAN,MI.

随便看

 

离鸟网收录3541549条中英文词条,其功能与新华字典、现代汉语词典、牛津高阶英汉词典等各类中英文词典类似,基本涵盖了全部常用中英文字词句的读音、释义及用法,是语言学习和写作的有利工具。

 

Copyright © 2004-2024 vtrois.com All Rights Reserved
更新时间:2026/4/17 23:07:14