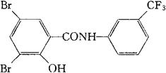
氟沙仑
C14H8Br2F3NO2=439.03 CAS-4776-06-1 3,5-二溴2-羟-N-[3-(三氟甲基)苯基]-苯甲酰胺。 3,5-Dibromo-2-hydroxy-N-[3-(trifluoromefhyl)phenyl]benzamide. 3,5-二溴-α,α,α-三氟-间-水杨基甲苯胺。 3,5-Dibromo-α,α,α-trifluoro-m-salicylotoluide. 3,5-二溴-3′-(三氟甲基)水杨酰苯胺。 3,5-Dibromo-3′-(trifluoromethyl)salicylanilide. 消毒防腐药。 氟溴沙兰。 Fluorosalan(USAN),Fluorophene,Flusalan. INN,NFN,USAN,MI.  |