网站首页  词典首页


请输入您要查询的字词:

 

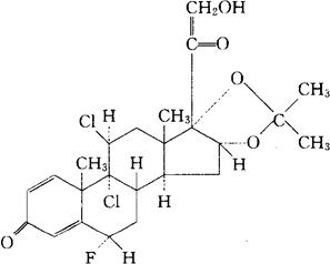
字词 氟氯奈德
类别 中英文字词句释义及详细解析
释义 氟氯奈德

C24H29Cl2FO3=487.39

CAS-3693-39-8

(6α,11β,16α)-9,11-二氯-6-氟-21-羟-16,17-[(1-甲基亚乙基)双(氧)]-孕甾-1,4-二烯-3,20-二酮。

(6α,11β,16α)-9,11-Dichloro-6-fluoro-21-hydroxy16,17-[(1-methylethylidene)bis(oxy)]-pregna-1,4-diene-3,20-dione.

9α,11β-二氯-6α-氟16α,17,21-三羟孕甾-1,4-二烯-3,20-二酮与丙酮生成环16,17-乙缩醛。

9α,11β-Dichloro-6α-fluoro-16α,17,21-trihydroxypregna-1,4-diene-3,20-dione cyclic 16,17-acetal with acetone.

消炎药,肾上腺皮质激素类药。

Flucloronide,RS-2252,Fluclorolone Acetonide,Cutanit,Topilar.

INN & BAN(Fluclorolone Acetonide),USAN.

随便看

 

离鸟网收录3541549条中英文词条,其功能与新华字典、现代汉语词典、牛津高阶英汉词典等各类中英文词典类似,基本涵盖了全部常用中英文字词句的读音、释义及用法,是语言学习和写作的有利工具。

 

Copyright © 2004-2024 vtrois.com All Rights Reserved
更新时间:2026/4/21 17:10:51