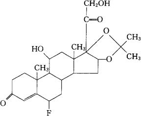
氟氢缩松
C24H33FO6=436.52 CAS-1524-88-5 6α-氟-11β,16α,17,21-四羟孕甾-4-烯-3,20-二酮与丙酮形成16,17-乙缩醛。 6α-Fluoro-11β,16α,17,21-tetrahydroxypregn-4-ene3,20-dione cyclic 16,17-acetal with acetone. (6α,11β,16α)-6-氟-11,21-二羟-16,17-[(1-甲基亚乙基)双(氧)]-孕甾-4-烯-3,20二酮。 (6α,11β,16α)-6-Fluoro-11,21-dihydroxy-16,17-[(1-methylethylidene)bis(oxy)]-pregn-4-ene-3,20-dione. 皮质激素类药。 Flurandrenolide(USAN),Cordran,Fludroxycortide,Cordran,Drenison,Drocort,Haldrone,Sermaform,Flurandrenolone,Sermaka. INN,BAN,DCP,DCIT,NFN,USAN,USP. 
|