网站首页  词典首页


请输入您要查询的字词:

 

字词 氟托溴铵
类别 中英文字词句释义及详细解析
释义 氟托溴铵

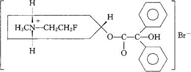
C24H29BrFNO3=478.40

CAS-63516-07-4

(8γ)-8-(2-氟乙基)-3α-羟-1αH,5αH-托烷鎓,二苯乙醇酸盐,溴化物。

(8γ)-8-(2-Fluoroethyl)-3α-hydroxy-1αH,5αHtropanium bromide,benzilate.

8-(2-氟乙基)-3-[(羟二苯基乙酰)氧]-8-甲基-8-氮鎓双环[3.2.1]辛烷溴化物。

8-(2-Fluoroethyl)-3-[(hydroxydiphenylacetyl)oxy]-8-methyl-8-azoniabicyclo[3,2,1]octane,bromide.

抗胆碱药,支气管解痉药。

Flutropium Bromide,Ba 598 Br.

INN,USAN.

随便看

 

离鸟网收录3541549条中英文词条,其功能与新华字典、现代汉语词典、牛津高阶英汉词典等各类中英文词典类似,基本涵盖了全部常用中英文字词句的读音、释义及用法,是语言学习和写作的有利工具。

 

Copyright © 2004-2024 vtrois.com All Rights Reserved
更新时间:2026/4/18 22:56:53