网站首页  词典首页


请输入您要查询的字词:

 

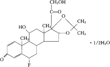
字词 氟尼缩松
类别 中英文字词句释义及详细解析
释义 氟尼缩松

C24H31FO6·1/2H2O=443.51

CAS-77326-96-6

(6α,11β,16α)-6-氟-11,21-二羟-16,17[(1-甲基亚乙基)双(氧)]孕甾-1,4-二烯-3,20-二酮,半水化合物。

(6α,11β,16α)-6-Fluoro-11,21-dihydroxy-16,17[(1-melhylethylidene)bis(oxy)]-pregna-1,4-diene-3,20-dione,hemihydrate.

6α-氟-11β,16α,17,21-四羟基孕甾-1,4-二烯-3,20-二酮环与丙酮形成16,17-乙缩醛,半水化合物。

6α-Fluoro-11β,16α,17,21-tetrahydroxypregna-1,4-diene-3,20-dione cyclic 16,17-acetal with acetone,hemihydrate.

皮质激素类药。

Aerobid,Bronalide,Flunisolide,Nasalide,Syntaris,RS-3999.

INN,BAN,DCF,DCIT,JAN,NFN,USAN,USP,MI.

随便看

 

离鸟网收录3541549条中英文词条,其功能与新华字典、现代汉语词典、牛津高阶英汉词典等各类中英文词典类似,基本涵盖了全部常用中英文字词句的读音、释义及用法,是语言学习和写作的有利工具。

 

Copyright © 2004-2024 vtrois.com All Rights Reserved
更新时间:2026/4/17 19:43:52