氟地平
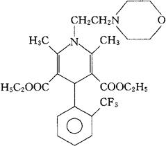
C26H33F3N2O5=510.55 CAS-77590-96-6 1,4-二氢-2,6-二甲基-1-(2-吗啉乙基)-4-(α,α,α-三氟-邻-甲苯基)-3,5-吡啶二羧酸二乙酯。 Diethyl 1,4-dihydro-2,6-dimethyl-1-(2-morpholinoethyl)-4-(α,α,α-trifluoro-o-tolyl)-3,5-pyridinedicarboxylate. 1,4-二氢-2,6-二甲基-1-[2-(4-吗啉基)乙基]-4-[2-(三氟甲基)苯基]-3,5-吡啶二羧酸。 1,4-Dihydro-2,6-dimehyl-1-[2-(4-morpholinyl)ethyl]-4-[2-(trifluoromethyl)phenyl]-3,5-pyridinedicarboxylic acid diethyl ester. 抗高血压药。 氟洛苯啶。 Flordipine,RHC 2906. INN,USAN.  |