网站首页  词典首页


请输入您要查询的字词:

 

字词 氟哌噻吨[中]
类别 中英文字词句释义及详细解析
释义 氟哌噻吨[中]

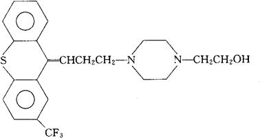
C23H25F3N2OS=434.52

CAS-2709-56-0

4-[3-[2-(三氟甲基)-9H-噻吨]-9-亚基丙基]-1-哌嗪乙醇。

4-[3-[2-(Trifluoromethyl)-9H-thioxanthen]-9-ylidenepropyl]-1-piperzineethanol.

2-三氟甲基-9-[3-[4-(2-羟乙基)哌嗪-1-基]亚丙基]噻吨。

2-Trifluoromethyl-9-[3-[4-(2-hydroxyethyl)piperazin-1-yl]-propylidene]thioxanthene.

安定药。用于急慢性精神分裂症。

三氟噻吨,羟哌氟丙硫蒽。

Flupenitixol,Emergil,Metamin,Phrenixol Siplaril,Siplarol,Fx 703,Lc 44,Lu 5-110,N 7009,SKF 10812.

INN,BAN,DCF,DCIT,JAN,USAN,MI.

随便看

 

离鸟网收录3541549条中英文词条,其功能与新华字典、现代汉语词典、牛津高阶英汉词典等各类中英文词典类似,基本涵盖了全部常用中英文字词句的读音、释义及用法,是语言学习和写作的有利工具。

 

Copyright © 2004-2024 vtrois.com All Rights Reserved
更新时间:2026/4/18 4:02:42