网站首页  词典首页


请输入您要查询的字词:

 

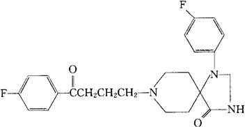
字词 氟司哌隆
类别 中英文字词句释义及详细解析
释义 氟司哌隆

C23H25F2N3O2=413.47

CAS-54965-22-9

1-(4-氟苯基)-8-[4-(对-氟苯基)-4-氧代丁基]-1,3,8-三氮杂螺[4,5]癸烷-4-酮。

1-(4-Fluorophenyl)-8-[4-(4-fluorophenyl)-4-oxobutyl]-1,3,8-triazaspiro[4,5]decan-4-one.

8-[3-(对氟苯甲酰)丙基]-1-对-氟苯基-1,3,8-三氮杂螺[4,5]癸烷-4-酮。

8-[3-(p-Fluorobenzoyl)propyl]-1-(p-fluorophenyl)-1,3,8-triazaspiro[4,5]decan-4-one.

安定药。

氟螺哌隆。

Fluspiperone,R 28,930.

INN,USAN.

随便看

 

离鸟网收录3541549条中英文词条,其功能与新华字典、现代汉语词典、牛津高阶英汉词典等各类中英文词典类似,基本涵盖了全部常用中英文字词句的读音、释义及用法,是语言学习和写作的有利工具。

 

Copyright © 2004-2024 vtrois.com All Rights Reserved
更新时间:2026/4/20 18:50:14