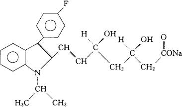
氟伐他汀钠
C24H25FNNaO4=433.45 CAS-93957-55-2 [R*,S*-(E)]-(±)-7-[3-(对-氟苯基)-1-(1-甲基乙基)-1H-吲哚-2-基]3,5-二羟-6-庚烯酸,单钠盐。 [R*,S*-(E)]-(±)-7-[3-(p-Fluorophenyl)-1-(1-methylethyl)-1H-indol-2-yl]-3,5-dihydroxy-6-heptenoic acid,monosodium salt. (±)(3R*,5S*,6E)-7-[3-(对-氟苯基)-1-异丙基吲哚-2-基]-3,5-二羟-6-庚烯酸钠。 Sodium(±)-(3R*,5S*,6E)-7-[3-(p-fluorophenyl)-1-isopropylindol-2-yl]-3,5-dihydroxy-6-heptenoate. 降血脂药。 Fluvastatin Sodium,XU 62-320. USAN.  |