网站首页  词典首页


请输入您要查询的字词:

 

字词 氟他唑仑[中]
类别 中英文字词句释义及详细解析
释义 氟他唑仑[中]

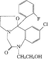
C19H18ClFN2O3=376.81CAS-27060-91-9

10-氯-11b-邻-氟苯基-2,3,7,11b-四氢-7-(2-羟乙基)噁唑异(3,2-d][1,4]苯并二氮杂-6(5H)-酮。

10-Chloro-11b-(o-fluorophenyl)-2,3,7,11b-tetrahydro-7-(2-hydroxyethyl)oxazolo[3,2-d][1,4]benzodiazepin-6(5H)-one.

抗焦虑药,安定药。

氟太唑仑。

Coreminal,Flutazolam.

INN,JAN,USAN,MI.

随便看

 

离鸟网收录3541549条中英文词条,其功能与新华字典、现代汉语词典、牛津高阶英汉词典等各类中英文词典类似,基本涵盖了全部常用中英文字词句的读音、释义及用法,是语言学习和写作的有利工具。

 

Copyright © 2004-2024 vtrois.com All Rights Reserved
更新时间:2026/4/20 13:55:02