网站首页  词典首页


请输入您要查询的字词:

 

字词 气体的热力过程及热力学第一定律
类别 中英文字词句释义及详细解析
释义 气体的热力过程及热力学第一定律

当工质有能量出入时,如从热源吸热或向外界膨胀作功时,必同时发生热力状态的变化,从而形成热力过程。对于没有能量(热能或机械能)损失,由连续的平衡状态组成的理想过程,称为可逆过程。

分析计算热力过程的主要目的:1.状态参数的变化规律;2.吸热量q;3.功量l。

分析计算热力过程的主要依据:1.气体状态方程式及物性关系式:2.热力学第一定律。热力学第一定律是能量转换及守恒定律在工程热力学中的具体应用。对于静止系统,热力学第一定律的解析式为

q=△u+l J/kg (1.4-36)

式中 q为工质在过程中的吸热量,J/kg;l为工质在过程中的膨胀功,J/kg;△u=u2-u1,是工质在过程终、初态时的内能变量,J/kg。

对微小的变化过程,(1.4-36)式可写成:

dq=du+dl J/kg (1.4-37)

对可逆过程又可写成:dq=du+pdv (1.4-38)

对理想气体又可写成:dq=cDdT+pdv (1.4-39)

对mkg气体,(1.4-36)式可写成:Q=△U+L J (1.4-40)

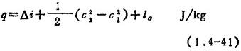
对于流动系统,热力学第一定律的解析式为:

式中 q为工质在流动过程中的吸热量,J/kg;△i=i2-t1,是工质在出、进口截面上的焓的变量,J/kg;c1、c2,是工质在进、出口截面上的流速,m/s;la为工质在流动过程中对外输出的机械功,J/kg。

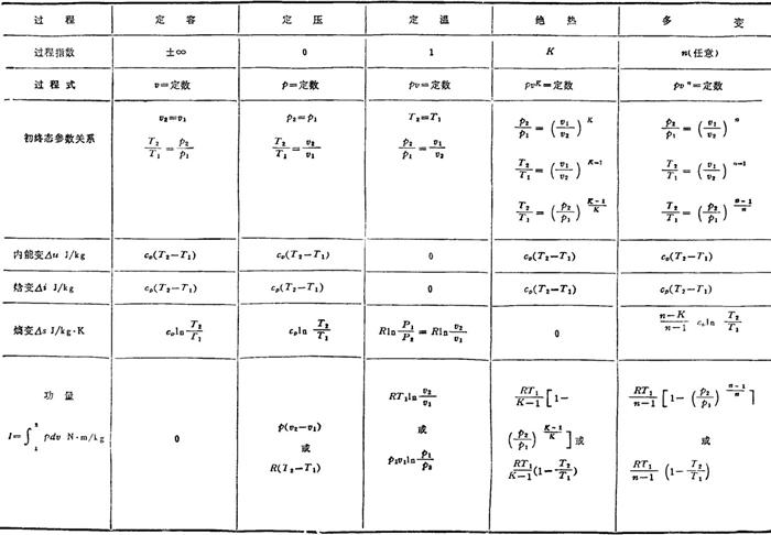
理想气体各种可逆过程的计算式列于表1.4-7。

表1.4-7 理想气体各种可逆过程的计算式

随便看

 

离鸟网收录3541549条中英文词条,其功能与新华字典、现代汉语词典、牛津高阶英汉词典等各类中英文词典类似,基本涵盖了全部常用中英文字词句的读音、释义及用法,是语言学习和写作的有利工具。

 

Copyright © 2004-2024 vtrois.com All Rights Reserved
更新时间:2026/4/20 15:47:09