网站首页  词典首页


请输入您要查询的字词:

 

字词 毛毯气动校正器的最大压力计算
类别 中英文字词句释义及详细解析
释义 毛毯气动校正器的最大压力计算

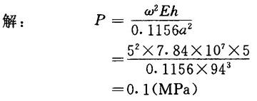
【公式】

式中 P——最大压力(Pa)

ω——气动最大位移(mm)

E——弹性模量(Pa),橡胶的弹性模量E=7.84×107Pa

h——胶膜厚度(mm)

a——胶膜半径(mm)

【例】 已知某纸机的气动校正装置的橡胶膜厚度h=5mm,胶膜半径a=94mm,气动最大位移ω=5mm,求最大气压。

随便看

 

离鸟网收录3541549条中英文词条,其功能与新华字典、现代汉语词典、牛津高阶英汉词典等各类中英文词典类似,基本涵盖了全部常用中英文字词句的读音、释义及用法,是语言学习和写作的有利工具。

 

Copyright © 2004-2024 vtrois.com All Rights Reserved
更新时间:2026/4/17 17:27:20