网站首页  词典首页


请输入您要查询的字词:

 

字词 毕奥—萨伐尔定律
类别 中英文字词句释义及详细解析
释义 毕奥—萨伐尔定律

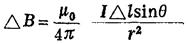
表明电流与它所引起的磁场之间相互关系的物理定律。为法国物理学家毕奥和萨伐尔于1820年提出。对于一段电路△l来说,在其附近某点由该段电路的电流所产生的磁感应强度为

式中I为电流强度,r为该段电路△l到该点的距离,θ为△l与r之间的夹角。磁感应强度B的方向由右手定则来确定。

随便看

 

离鸟网收录3541549条中英文词条,其功能与新华字典、现代汉语词典、牛津高阶英汉词典等各类中英文词典类似,基本涵盖了全部常用中英文字词句的读音、释义及用法,是语言学习和写作的有利工具。

 

Copyright © 2004-2024 vtrois.com All Rights Reserved
更新时间:2026/4/20 6:36:24