网站首页  词典首页


请输入您要查询的字词:

 

字词 比磨层厚度的计算
类别 中英文字词句释义及详细解析
释义 比磨层厚度的计算

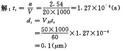
【说明】在比磨碎时间内的喂料速度叫比磨层厚度。

式中 ds——比磨层厚度(mm)

VH——喂料速度(mm/s)

α、V同式1-5-1

【例】生产用10号刻石刀,刻纹间距α=2.54mm,磨石圆周速度V=20m/s,喂料速度VH=50mm/min,求比磨碎时间和比磨层厚度。

随便看

 

离鸟网收录3541549条中英文词条,其功能与新华字典、现代汉语词典、牛津高阶英汉词典等各类中英文词典类似,基本涵盖了全部常用中英文字词句的读音、释义及用法,是语言学习和写作的有利工具。

 

Copyright © 2004-2024 vtrois.com All Rights Reserved
更新时间:2026/4/18 18:45:26