网站首页  词典首页


请输入您要查询的字词:

 

字词 比尼贝特
类别 中英文字词句释义及详细解析
释义 比尼贝特

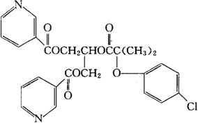
C25H23ClN2O7=498.92

CAS-69047-39-8

2-(对-氯苯氧基)-2-甲基丙酸1,3-二烟酰氧-2-丙醇酯。

2-(p-Chlorophenoxy)-2-methylpropionic acid ester with 1,3-dinicotininoyloxy-2-propanol.

降血脂药。

Binifibrate.

INN,USAN.

随便看

 

离鸟网收录3541549条中英文词条,其功能与新华字典、现代汉语词典、牛津高阶英汉词典等各类中英文词典类似,基本涵盖了全部常用中英文字词句的读音、释义及用法,是语言学习和写作的有利工具。

 

Copyright © 2004-2024 vtrois.com All Rights Reserved
更新时间:2026/4/19 5:43:26