网站首页  词典首页


请输入您要查询的字词:

 

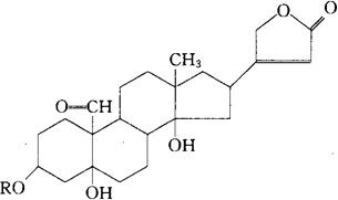
字词 毒毛旋花子甙K[典]
类别 中英文字词句释义及详细解析
释义 毒毛旋花子甙K[典]

CAS-11005-63-3

强心药。

作用与毛地黄相似。用于充血性心力衰竭,更适宜于急性病例。

毒毛旋花子苷K。

毒毛甙,康毗箭毒子素,绿毒毛旋花子甙。

Strophanthin K,K-Strophanthoside,Combetin,

Eustrophinum,Kombetin.

毒毛旋花子甙K注射液(康毗箭毒子素注射液)。

MI.

R=α-D-glucose-β-D-glucose-D-canada cannabine.

随便看

 

离鸟网收录3541549条中英文词条,其功能与新华字典、现代汉语词典、牛津高阶英汉词典等各类中英文词典类似,基本涵盖了全部常用中英文字词句的读音、释义及用法,是语言学习和写作的有利工具。

 

Copyright © 2004-2024 vtrois.com All Rights Reserved
更新时间:2026/4/18 18:32:05