网站首页  词典首页


请输入您要查询的字词:

 

字词 正态分布
类别 中英文字词句释义及详细解析
释义 正态分布

亦称"高斯分布"或"拉普拉斯分布"。

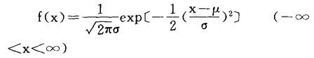
其概率密度函数为

取y=f(x)作图,可描出正态分布的曲线,该曲线有下列特性:

(1)为单峰对称曲线,对称轴是x=μ;

(2)在x=μ±σ处有拐点;

(3)以全曲线与x轴所围面积等于1。该分布期望值E(x)=μ,方差D(x)=σ2,偏度γ13/σ3=0,峰度γ24/σ4-3=0,矩母函数M(θ)=exp(μθ+)。

正态分布是最常见的也是最重要的一种分布。不少社会现象、自然技术现象的分布与之相近。

在一般假定下,它是n个独立随机变量之和且当n充分大时的极限分布。

随便看

 

离鸟网收录3541549条中英文词条,其功能与新华字典、现代汉语词典、牛津高阶英汉词典等各类中英文词典类似,基本涵盖了全部常用中英文字词句的读音、释义及用法,是语言学习和写作的有利工具。

 

Copyright © 2004-2024 vtrois.com All Rights Reserved
更新时间:2026/4/21 12:20:13