正态分布
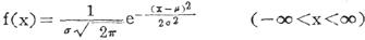
亦称“常态分布”、“高斯分布”。 统计中最重要的分布。德国数学家高斯(Carl Friedrich Gauss 1777-1855),首先发现。设随机变量x服从正态分布,其分布密度函数为:  式中:μ和σ2分别为随机变量x的数学期望和方差。当μ=0,σ=1时,称正态分布为标准正态分布,其分布密度函数为:  正态分布如下图所示,  通过图形可以看出:f(x)在x=μ处达到极大值,整个图形关于x=μ对称,由于分布曲线下的面积总保持为1。因此,当σ不相同时,f(x)的形状也不相同,σ愈小,分布集中在x=μ附近;σ愈大,分布就愈平坦。 在生产实践和科学研究中,凡是处于控制状态的数据和测定随机误差的分布,大多是近似地服从正态分布。由于它的应用极为广泛,已编有正态分布表可供查阅。 |