网站首页  词典首页


请输入您要查询的字词:

 

字词 正弦交流电的基本概念
类别 中英文字词句释义及详细解析
释义 正弦交流电的基本概念

4.1.1 正弦交流电及其三要素

随时间按正弦规律变化的电流、电压和电动势,称为正弦交流电,简称交流电、正弦量。正弦交流电可以用瞬时值表达式、波形图表示。例如,正弦交流电压u的瞬时值表达式为

u=Umsin(ωt+ψ)

式中 Um为u的最大值(也称幅值、峰值);ω为u的角频率;ψ为u的初相位(也称初相角、初相)。

与电压u瞬时值表达式相对应的波形图如图式8.1-16所示。

正弦交流电的三要素是:

❶ 最大值:交流电变化的幅度。

❷ 角频率:交流电变化的快慢。它与频率f、周期T的关系为

❶ ψu>ψi,则φ=ψu-ψi>0,表示u超前i的相位为φ,如图a)所示;

❷ ψu<ψi,则φ=ψu-ψi<0,表示u滞后i的相位为φ,如图b)所示;

❸ ψui,则φ=ψu-ψi=0,表示u与i同相如图c)所示。

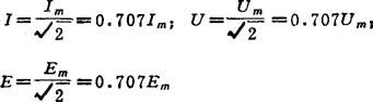
4.1.3 有效值

有效值定义:交流电的有效值,就是在相同的时间内通过同一电阻时产生与它的热效应相等的直流值。

有效值等于交流电瞬时值的均方根值,如交流电流i(t),其有效值可表示为

式(8.1-6)不仅适用于正弦交流电,而且也适用于任何周期性变化的电流、电压和电动势。

正弦交流电的有效值等于其最大值的1/,即

随便看

 

离鸟网收录3541549条中英文词条,其功能与新华字典、现代汉语词典、牛津高阶英汉词典等各类中英文词典类似,基本涵盖了全部常用中英文字词句的读音、释义及用法,是语言学习和写作的有利工具。

 

Copyright © 2004-2024 vtrois.com All Rights Reserved
更新时间:2026/4/19 19:50:03