网站首页  词典首页


请输入您要查询的字词:

 

字词 正多面体的种类
类别 中英文字词句释义及详细解析
释义 正多面体的种类

正多面体只能有5种,用正三角形做面的正四面体、正八面体、正二十面体,用正方形做面的正六面体,用正五边形做面的正十二面体.

例1 如下图所示,三棱锥P—ABC中,PA=PC,∠APC=∠ACB=90°,∠BAC= 30°,且平面PAC⊥平面ABC

(1)求证:平面PAC⊥平面PBC.

(2)求二面角P—AB—C的正弦值.

(3)若PA=2,求三棱锥P—ABC的体积.

解 (1)证明 ∵平面PAC⊥平面ABC,面PAC∩面ABC=AC,又BC⊥AC,

∴BC⊥平面APC,

又∵,∴平面PAC⊥平面PBC.

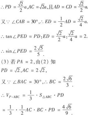
(2)过P作PD⊥AC于D,则PD⊥平面ABC,过D作DE⊥AB于E,连结PE.

∵面PAC⊥面ABC,∴PD⊥面ABC.

由三垂线定理知:∴PE⊥AB.

∴∠PED为二面角P—AB—C的平面角.

设PA=PC=a,∵∠APC=90°,

例2 已知正四棱锥P—ABCD的底面边长和各侧棱长都是13,M、N分别是PA、BD上的点,且PM∶MA=BN∶ND=5∶8.

(1)求证:MN∥平面PBC.

(2)求直线MN与平面ABCD所成角的正弦值.

解 (1)证明 如图所示,连AN并延长交BC于E,连结PE.

∵AD∥BC,

∴△AND~△BNE,

∴EN∶AN=BN∶ND.

又BN∶ND=PM∶MA,

∴EN∶AN=PM∶MA,

∴MN∥PE,又

∴MN∥平面PBC.

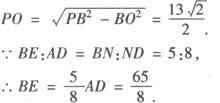
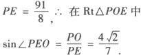
(2)由(1)知MN∥PE,

∴PE与平面ABCD所成的角即MN与平面AC所成的角.

设底面中心为O,连结PO,则PO⊥面AC,连结OE,则∠PEO为PE与底面AC所成角.

又在△PBE中,由余弦定理得:

随便看

 

离鸟网收录3541549条中英文词条,其功能与新华字典、现代汉语词典、牛津高阶英汉词典等各类中英文词典类似,基本涵盖了全部常用中英文字词句的读音、释义及用法,是语言学习和写作的有利工具。

 

Copyright © 2004-2024 vtrois.com All Rights Reserved
更新时间:2026/4/17 19:06:26