网站首页  词典首页


请输入您要查询的字词:

 

字词 欧拉方程
类别 中英文字词句释义及详细解析
释义 欧拉方程

是解变分问题的一个基本工具,它给出泛函极值存在的一阶必要条件。

设J(y)是定义于某集D上的一个泛函,D含于某个函数空间y。对给定y∈D,若对任何h∈y,导数:

存在,则说泛函J在y处存在变分,且称映射

h→δJ(y,h)

为J在y的变分,记作δJ(y)。

若J(y)在某点y*∈D取得极值且变分存在,则必定δJ(y*)=0,即y=y*满足方程:

δJ(y)=0 (*)

方程(*)就是关于J的欧拉方程。因此,求泛函J(y)的极值点归于解欧拉方程(*),这正是欧拉方程意义之所在。

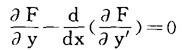
在很多具体问题中,泛函J(y)通常表为某个积分,而欧拉方程则可转化为一个微分方程。例如,设

其中F是已知的二次可微函数,则相应的欧拉方程可化为

这是一个关于未知函数y的二阶常微分方程。

随便看

 

离鸟网收录3541549条中英文词条,其功能与新华字典、现代汉语词典、牛津高阶英汉词典等各类中英文词典类似,基本涵盖了全部常用中英文字词句的读音、释义及用法,是语言学习和写作的有利工具。

 

Copyright © 2004-2024 vtrois.com All Rights Reserved
更新时间:2026/4/18 10:27:43