网站首页  词典首页


请输入您要查询的字词:

 

字词 概率密度曲线与概率密度函数
类别 中英文字词句释义及详细解析
释义 概率密度曲线与概率密度函数

把从总体中任取一个样本看作连续型随机变量x,那么总体密度曲线能精确地反映x取值的规律性,通常叫做x的概率密度曲线,以这条曲线为图象的函数,叫做x的概率密度函数.x落在(a,b)内的值的概率是图中阴影部分的面积,如下图.

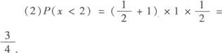
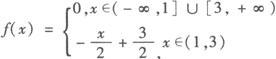
例 已知连续型随机变量x的概率密度函数

(1)画出x的概率密度曲线;

(2)求P(x<2)

解 (1)根据概率密度函数,可以画出x的概率密度曲线,如下图.

随便看

 

离鸟网收录3541549条中英文词条,其功能与新华字典、现代汉语词典、牛津高阶英汉词典等各类中英文词典类似,基本涵盖了全部常用中英文字词句的读音、释义及用法,是语言学习和写作的有利工具。

 

Copyright © 2004-2024 vtrois.com All Rights Reserved
更新时间:2026/4/18 11:29:36