网站首页  词典首页


请输入您要查询的字词:

 

字词 概率
类别 中英文字词句释义及详细解析
释义 概率

在大量重复进行同一试验时,事件A发生的频率总接近某个常数,在它附近摆动,这时就把这个常数叫做事件A的概率,记作P(A),概率是用来表示随机事件发生的可能性大小的一个量,由于任何事件A发生的次数mA总不能大于试验的次数n,因此事件A的概率P(A)满足0≤P(A)≤1.

【说明】易知,必然事件的概率是1,不可能事件的概率是0.

等可能性事件的概率:

如果一次试验中共有n种可能出现的结果,其中事件A包含的结果有m种,那么事件A的概率

例1 在一次口试中,要从10道题中随机选出3道题进行回答,答对了其中2道题就获得及格,其中一个考生能正确回答10道题中的8题,那么这名考生获得及格的概率是多少?

策略 因为从10道题中随机选出3道题,共有种可能的结果,而每种结果出现的可能性都相等,故本题属于求等可能性事件的概率的问题.

解 ∵从10题中随机选出3题,共有等可能性的结果个.

设事件A:“这名考生获得及格”,则事件A含的结果有两类,一类是选出的3道正好是他能回答的3题,共有种选法另一类是选出的三道题正好有两道题会答,一道不会答,共有种选项,所以事件A包含的结果有个.

答 这名考生获得及格的概率为

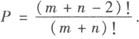
例2 在一个袋子里,放有均匀的n个白球和m个黑球,若逐一地全部取出,问第一个和最后一个取出的都是白球的概率是多少?

策略 首先每次取出一个是任意的,所以逐一取完后各种结果都是等可能发生的,又逐一的取法是有序的,所以所有的结果就是将这n+m个球进行全排的种数.

解 问题实际转化为“将n个白球与m个黑球排成一列,求两端恰为白球的概率”,可得

点评 该题中的“第一个与最后一个”可推广为任意指定的位置.

随便看

 

离鸟网收录3541549条中英文词条,其功能与新华字典、现代汉语词典、牛津高阶英汉词典等各类中英文词典类似,基本涵盖了全部常用中英文字词句的读音、释义及用法,是语言学习和写作的有利工具。

 

Copyright © 2004-2024 vtrois.com All Rights Reserved
更新时间:2026/4/21 19:41:58