网站首页  词典首页


请输入您要查询的字词:

 

字词 植物鞣剂的配制及浓度计算
类别 中英文字词句释义及详细解析
释义 植物鞣剂的配制及浓度计算

(一)植物鞣剂的配制

1.植物鞣剂的配制原料

(1)按鞣质分类选择鞣剂组成配方,缩合类鞣质与水解类鞣质应混合搭配,一般用量以缩合类鞣质大于水解类鞣质为好。

(2)按鞣剂性质组成配方,其性质包括:鞣剂渗透性的快慢;与革结合力的强弱;颜色的鲜浅深暗;pH值的高低等,可根据需要相互搭配,合理使用。

2.植物鞣剂的配方

(1)底革:要求渗透良好、填充性好的鞣剂,成革要求坚实、成型性良好。尤其外底革,要求硬度好,耐磨高。故可多配用橡椀等有利于坚实性的栲胶品种(栲胶总用量为裸皮重的40%~45%)。

配方一

橡椀栲胶: 30%~40%

落叶松栲胶: 20%~60%

配方二

橡椀栲胶: 40% 红根栲胶: 25%

落叶松栲胶: 35%

配方三

杨梅栲胶: 35% 橡椀栲胶: 20%

柚柑栲胶: 35% 落叶松栲胶: 10%

配方四

杨梅栲胶: 15% 橡椀栲胶: 40%

柚柑栲胶: 15% 落叶松栲胶: 30%

(2)装具革,要求渗透良好,填充性中等的鞣剂,成革要求较底革软而有弹性,成型性良好,色泽较好。所以,应少配用或不用橡椀等栲胶(栲胶总用量为裸皮重25%~30%)。

如配方:

杨梅栲胶: 60% 落叶松栲胶: 15%

抽柑栲胶: 25%

(3)高浓度速鞣底革,初期要求渗透性良好的栲胶,后期可加用增加坚实性的橡椀栲胶。如配方:

初期:杨梅栲胶: 15% 后期:落叶松栲胶: 5%

柚柑栲胶: 15% 橡椀栲胶: 10%

表8-14 常用植物鞣料性质一览表

(二)植物鞣剂浓度的计算

从实际生产得知,根据成革的质量要求,在鞣制时往往采用数种不同的植物鞣液混合复配使用。其混合鞣液的浓度计算方法为:

式中 ρ——表示混合鞣液的浓度;

V1、V2——分别表示第一、第二种鞣液的体积;

ρ1、ρ2——分别表示第一、第二种鞣液的浓度。

例如:

(1)现有甲鞣液1000L,其浓度为30g/L,另有乙鞣液200L,浓度为180g/L,甲、乙两种鞣液混合后的浓度即为:

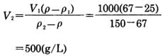
(2)若要把1000L浓度为25g/L的鞣液提高到浓度为67g/L,当用浓度为150g/L的鞣液来调整时,所需的这种鞣液的用量即为:

随便看

 

离鸟网收录3541549条中英文词条,其功能与新华字典、现代汉语词典、牛津高阶英汉词典等各类中英文词典类似,基本涵盖了全部常用中英文字词句的读音、释义及用法,是语言学习和写作的有利工具。

 

Copyright © 2004-2024 vtrois.com All Rights Reserved
更新时间:2026/4/18 14:48:48