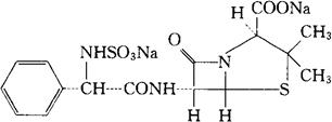
森西林钠
C16H17N3Na2O7S2=473.43 CAS-23444-86-2 6-[2-苯基-D-2-(氨磺酸基)乙酰胺基]青霉烷酸二钠盐。 6-[2-Phenyl-D-2-(sulfoamino)acetamido]penicillanic acid disodium salt. 3,3-二甲基-7-氧代-6-[2-苯基-D-2-(氨磺酸基)乙酰胺基]-4-硫杂-1-氮杂双环[3.2.0]庚烷-2-羧酸二钠盐。 3,3-Dimethyl-7-oxo-6-[2-phenyl-D-2-(sulfoamino)acetamido]-4-thia-1-azabicyclo[3.2.0]heptane-2-carboxylic acid disodium salt. 抗生素类药。 氨苄西林磺酸钠。 Suncillin Sodium. INN,USAN.  |