网站首页  词典首页


请输入您要查询的字词:

 

字词 桐叶
类别 中英文字词句释义及详细解析
释义 桐叶

【概况】:

异名 白桐叶(《本草经集注》)

基源 为玄参科泡桐属植物白花泡桐的叶。

原植物 白花泡桐Paulownia fortunei(Seem.)Hemsl.

余项参见“桐皮”条。

【化学】:

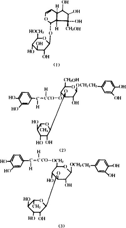
含桃叶珊瑚甙(Aucubin)[1]、泡桐甙(Paulownioside)(1)[1],还有毛蕊花甙(Verbascoside)[2](2)及异毛蕊花甙(Isoverbascoside)(3)[2]

还含Ca 2.41%、P 0.16%、Mg 0.64%、K 0.89%、6.18%的灰分、Fe 700ppm、Cu 13.1ppm、Mn 82.6ppm、Zn 26.4ppm、Al 373ppm、B 35.7ppm、Ni 2.89ppm、Co 1.80ppm、Pb 1.62ppm、Cr 1·61ppm、Na 409ppm及V 1.34ppm[3]。桐木、根皮及叶中有梓醇(Catalpol)[1]

参考文献 [1] J Nat Prod 1981;44(6):739 [2] Z Naturfurforsch B Anorg Chem Org Chem 1982;37B(12)∶1633 [3] 林产化学工业 1988;8(3)∶44。【药性】:

性味 《本经》:“苦,寒。”

主治 痈疽、疔疮,创伤出血。 ❶ 《本经》:“主恶蚀疮著阴。”
❷ 《纲目》:“消肿毒,生发。”

用法用量 外用:以醋蒸帖、捣敷或捣汁涂。

内服:煎汤,15~30g。。

【临床应用】:

方选和验方 ❶ 江西《草药手册》:“治无名肿毒:桐叶、醉鱼草各15g。捣敷。”
❷ 《补缺肘后方》:“治人须鬓秃落不生长;麻子仁90g,白桐叶60g。米泔煮五、六沸,去滓,洗之。”

单方应用 ❶ 《医林正宗》:“治痈疽发背大如盘,臭腐不可近:桐叶醋蒸贴上。退热止痛,渐渐生肉收口。”
❷ 《河南中草药手册》:“治白喉:霜打泡桐叶30g。水煎,红糖30g冲服。”
❸ 《湖北中草药志》:“治跌打损伤、骨折:鲜泡桐叶适量。捣烂,加酒炒热外敷。”

随便看

 

离鸟网收录3541549条中英文词条,其功能与新华字典、现代汉语词典、牛津高阶英汉词典等各类中英文词典类似,基本涵盖了全部常用中英文字词句的读音、释义及用法,是语言学习和写作的有利工具。

 

Copyright © 2004-2024 vtrois.com All Rights Reserved
更新时间:2026/4/17 22:42:08