| 释义 |
案辊出侧水楔的临界角计算
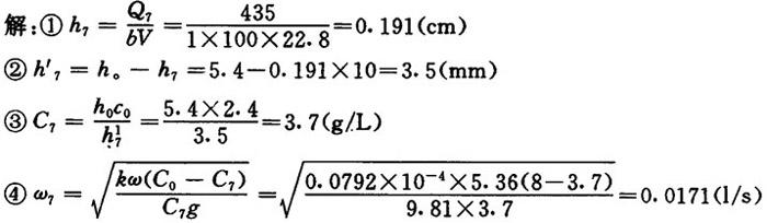
【公式】  式中 ωn——临界角(1/S) ω——案辊的角速度(1/s) K——浆料的过滤系数(m/s) C0′——纤维沉积层的浓度(g/L) 其它同上 【例】 经试验,已知包括成形箱和头7只案辊在内的总流量为Q7=435cm3/s,网上的纸页宽度b=1m,网速V=22.8cm/s,喷浆出口浆料层的初始厚度h0=5.4mm。初始浓度c0=2.4g/L,浆料的过滤系数k=0.0792×10-4m/s,案辊的角速度ω=5.361/s,直径d=80mm,纤维沉积层的浓度c0′=8g/L,求: ❶ 第7只案辊滤水层厚度h7 ❷ 第7只案辊上的浆料层厚度 ❸ 第7只案辊上的浆料浓度C7 ❹ 第7只案辊出侧水楔的临界角  |