网站首页  词典首页


请输入您要查询的字词:

 

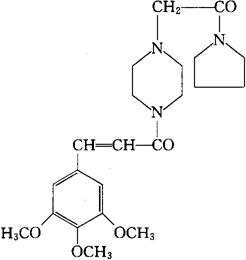
字词 桂哌齐特
类别 中英文字词句释义及详细解析
释义 桂哌齐特

C22H31N3O5=417.50

CAS-23887-46-9

CAS-26328-04-1(maleate)

1-[(1-吡咯烷基羰基)甲基]-4-(3,4,5-三甲氧基肉桂酰)哌嗪。

1-[(1-Pyrrolidinylcarbonyl)methyl]-4-(3,4,5-trimethoxycinnamoyl)piperazine.

冠脉扩张药,周围血管扩张药。

Cinepazide,MD 67350(as Maleate).

INN,BAN,DCF,USAN,MI.

随便看

 

离鸟网收录3541549条中英文词条,其功能与新华字典、现代汉语词典、牛津高阶英汉词典等各类中英文词典类似,基本涵盖了全部常用中英文字词句的读音、释义及用法,是语言学习和写作的有利工具。

 

Copyright © 2004-2024 vtrois.com All Rights Reserved
更新时间:2026/4/21 14:59:30