网站首页  词典首页


请输入您要查询的字词:

 

字词 格洛莫南
类别 中英文字词句释义及详细解析
释义 格洛莫南

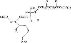
C18H25N5O8S=471.49

CAS-90850-05-8

[2S-[2α,3β(Z)]]-[[3-[[(2-氨基-4-噻唑基)(甲氧亚胺基)乙酰]氨基]-2-甲基-4-氧代-1-氮杂环丁烷基]氧]-2-(1,1-二甲基乙氧)-2-氧代乙基,醋酸酯。

[2S-[2α,3β(Z)]]-[[3-[[(2-Amino-4-thiazolyl)(methoxyimino)acetyl]amino]-2-methyl-4-oxo-1-azetidinyl]oxy]-2-(1,1-dimethylethoxy)-2-oxoethyl ester,acetic acid.

[[(2S,3S)-3-[(2-氨基-4-噻唑基)乙醛酰胺基]-2-甲基-4-氧代-1-氮-杂环丁烷基]氧]醋酸与32-(Z)-(O甲基肟,叔-丁基甘醇酸生成的酯。

[[(2S,3S)-3-[(2-Amino-4-thiazolyl)glyoxy lamido]-2-methyl-4-oxo-1-azetidinyl]oxy]acetic acid,ester with tert-butyl glycolate,32-(Z)-(O-methyloxime).

抗生素类药。

Gloximonam,SQ 82531.

INN,USAN.

随便看

 

离鸟网收录3541549条中英文词条,其功能与新华字典、现代汉语词典、牛津高阶英汉词典等各类中英文词典类似,基本涵盖了全部常用中英文字词句的读音、释义及用法,是语言学习和写作的有利工具。

 

Copyright © 2004-2024 vtrois.com All Rights Reserved
更新时间:2026/4/20 9:34:42