网站首页  词典首页


请输入您要查询的字词:

 

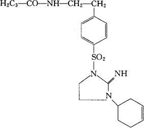
字词 格列丁胺
类别 中英文字词句释义及详细解析
释义 格列丁胺

C21H30N4O3S=418.55

CAS-25859-76-1

N-[对-[[3-(3-环己烯-1-基)-2-亚氨基-1-咪唑烷基]磺酰基]苯乙基]丁酰胺。

N-[p-[[3-(3-Cyclohexen-1-yl)-2-imino-1-imidazolidinyl]sulfonyl]phenethyl]butyramide.

降血糖药,抗糖尿病药。

Glibutimine,GP 51084,Glucidol.

INN,USAN.

随便看

 

离鸟网收录3541549条中英文词条,其功能与新华字典、现代汉语词典、牛津高阶英汉词典等各类中英文词典类似,基本涵盖了全部常用中英文字词句的读音、释义及用法,是语言学习和写作的有利工具。

 

Copyright © 2004-2024 vtrois.com All Rights Reserved
更新时间:2026/4/17 23:44:38