网站首页  词典首页


请输入您要查询的字词:

 

字词 根据晶胞计算晶体中阴、阳离子个数比的方法
类别 中英文字词句释义及详细解析
释义 根据晶胞计算晶体中阴、阳离子个数比的方法

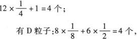
1.处于顶点的粒子,同时为8个晶胞所共有,每个粒子有1/8属于该晶胞;

2.处于棱上的粒子,同时为4个晶胞共有,每个粒子有1/4属于该晶胞;

3.处于面上的粒子,同时为2个晶胞共有,每个粒子有1/2属于该晶胞;

4.处于晶胞内的粒子,则完全属于该细胞.

如图所示晶体的一个晶胞中:有C粒子

故C粒子和D粒子的个数比为1∶1,晶体的化学式为CD或DC.

随便看

 

离鸟网收录3541549条中英文词条,其功能与新华字典、现代汉语词典、牛津高阶英汉词典等各类中英文词典类似,基本涵盖了全部常用中英文字词句的读音、释义及用法,是语言学习和写作的有利工具。

 

Copyright © 2004-2024 vtrois.com All Rights Reserved
更新时间:2026/4/20 0:32:20