网站首页  词典首页


请输入您要查询的字词:

 

字词 根据叶轮直径和转速粗算扬程
类别 中英文字词句释义及详细解析
释义 根据叶轮直径和转速粗算扬程

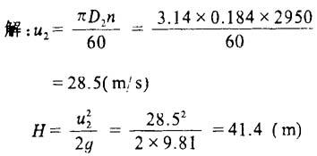
1.方法一

式中 n——泵的转速(r/min)

D2——叶轮外径(m)

u2——叶轮圆周速度(m/s)

H——泵的估计扬程(m)

q——重力加速度(m/s2)

[例]有一台离心泵,其标牌已丢失,但从与泵直联的电机标牌上查知电机转速为n=2950r/min,叶轮的外径经测后得知为D2=184mm,试估算此泵扬程。

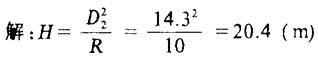
2方法二

[说明]该估算公式,对比转数为180的泵比较接近;对比转数小于180的泵,结果偏小;对比转数大于180的泵,算得的结果偏大。但对混流泵和轴流泵,此式不适合。

式中 H——水泵扬程(m)

D2——水泵叶轮外径(cm)

R——常数,对2极电机(转速为2950r/min)R=10;对4极电机(转速为1450r/min),R=40;对6极电机(其转速为970r/min),R=100

[例]与水泵直联的电机转速n=2950r/min,水泵叶轮直径为D2=14.3cm,求此泵的扬程。

随便看

 

离鸟网收录3541549条中英文词条,其功能与新华字典、现代汉语词典、牛津高阶英汉词典等各类中英文词典类似,基本涵盖了全部常用中英文字词句的读音、释义及用法,是语言学习和写作的有利工具。

 

Copyright © 2004-2024 vtrois.com All Rights Reserved
更新时间:2026/4/17 19:46:24